隨著常規PCR技術在分子生物學各個領域的廣泛應用,非特異性擴增等現象也經常出現,造成實驗結果的不準確性。
非特異性擴增的產生和影響
普通的Taq DNA 聚合酶的最適溫度是72℃,此時酶的活性最佳,低于此溫度,酶有較弱活性。在PCR擴增的升溫過程中,酶發揮較弱的活性,體系極易錯配或形成引物二聚體,尤其是當設計的引物3’端是G 或C,錯配的鏈很難重新解開。非特異性擴增正是由于DNA聚合酶低溫下具有活性而引起的錯誤引導靶標延伸和引物二聚體形成的。
非特異性擴增的具體影響包括:
目標擴增子產量低;
目標擴增子的靈敏度下降;
下游應用效果不佳。
因此,要提高PCR 擴增的特異性和降低反應錯配率,可以人為的控制酶的活性,在72℃之前讓酶不發揮活性,這樣就避免了在升溫(或配置反應體系)過程中發生鏈的錯配,從而保證擴增的特異性。
而目前最常用的提高PCR特異性的方法是使用熱啟動型Taq DNA聚合酶進行擴增,即熱啟動PCR。
熱啟動PCR
熱啟動PCR,主要利用酶的修飾物在常溫下抑制DNA聚合酶的活性,加熱到變性溫度時修飾物失活,酶活得以釋放,從而使PCR反應正常進行。
熱啟動PCR的優勢:
阻止引物與低同源性的模板序列結合;
在PCR反應開始之前,防止引物與引物之間形成引物二聚體;
提高目的片段的擴增靈敏度和產量;
可在室溫下配制反應體系和設置反應程序,使操作更為便利,且不會影響擴增性能和特異性。
熱啟動 Taq DNA聚合酶的修飾方法
熱啟動Taq DNA 聚合酶常用的修飾方法有化學修飾法、抗體法和配體修飾法等。其中化學修飾法和抗體法最為常用。雖然它們都能抑制室溫下的聚合酶活性,但兩者之間存在一些差異。
化學修飾法
化學修飾法熱啟動Taq DNA聚合酶:一般采用化學小分子,如酸酐,與聚合酶上的氨基酸基團(賴氨酸)結合,使酶低溫時失去酶活。加熱至特定溫度和時間后,化學小分子與氨基酸之間的化學鍵斷裂,酶活釋放,從而達到熱啟動效果。化學修飾可有效封閉酶的活性,操作簡單,酶活性釋放速度較慢,酶活性維持更加穩定且無任何外源DNA污染,性價比更高。
但是,酶激活時間較長可能會影響酶的活性,導致PCR產物的產量降低。
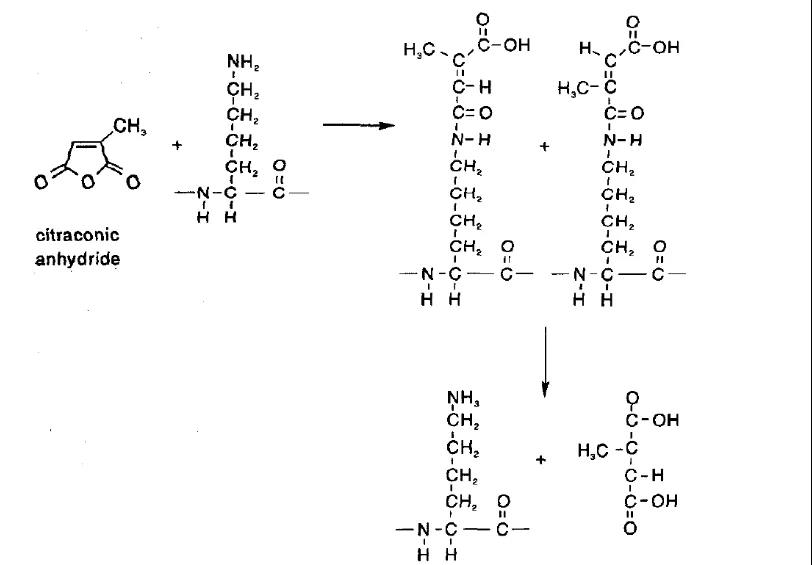
檸康酸酐與酶結合的原理
一般認為Taq DNA聚合酶上賴氨酸基團有42個左右,但是由于空間結構限制,其中一部分賴氨酸基團在基團內部,無法與化學修飾基團相結合。
抗體法
抗體法熱啟動Taq DNA聚合酶:一般使用Taq DNA聚合酶抗體,在PCR反應高溫加熱前,抗體與DNA聚合酶結合,封閉酶活性。在加熱至變性溫度時抗體變性,解除封閉從而釋放酶活性。此外,抗體型熱啟動酶由于酶活釋放速度快,可大大降低PCR反應時間,且具有更高的靈敏度和擴增效率。
但其缺點是抗原抗體結合是一種動態平衡,試劑配比優化時間長。

抗體與DNA聚合酶特異性結合封閉原理示意圖
兩種熱啟動修飾方法的比較

優質的熱啟動 Taq DNA聚合酶
熱啟動PCR目前的應用已是非常廣泛,在較難擴增的PCR反應如基因組DNA、單拷貝序列的擴增、多重PCR和超長片段的擴增中的應用尤為突出。
優質的熱啟動Taq DNA聚合酶,能有效降低或消除非特異性產物以及引物二聚體的形成,提高引物與模板結合的效率。進一步提高目的基因的擴增產物量,使PCR反應更趨于完美。
GenStar相關產品:
HotStart Taq DNA Polymerase(Cat#A131)
靈敏快速:抗體修飾熱啟動酶,擴增靈敏度更高,反應速度快;
性能優異:擴增效率高,重復性好,跨度均一;
兼容性強:適用于各種PCR或qPCR反應體系。
HotStart Power Taq DNA Polymerase(Cat#A135)
特異性強:化學修飾熱啟動酶,酶活封閉更完全,有效抑制非特異性擴增;
性能穩定:95℃加熱10 min,徹底釋放酶活性;
適合復雜模板:適用于從復雜模板中擴增低拷貝基因。
產品列表


主要參考資料:
Saiki RK,Scbarf S,Faloona F,el a1.Enzymatic amplification of beta-globin genomic sequences and restriction site anaylisis for diagnosis of sickle cell anemia[J].Science,1985,230(4732):1350-1354.
W ang Y,Prosen DE,Mei L,et al A novel strategy to engineer DNA polymerases for enhanced processivlty and improved performance in vitro[J] Xucleic Acids Research,2004;32(3):1197-1207.
Hiroshi M, et al. Characterization and Application to Hot Start PCR of Neutralizing Monoclonal Antibodies against KOD DNA Polymerase. [J].Synthetic Chemistry and Biological Chemistry.1999, 126(4):762.
周曉薇,朱雪蛟,田玲,等.耐熱Taq DNA聚合酶的酸酐修飾及其在降低PCR非特異性擴增中的應用評價[J].浙江農業學報,2011,23(3):500—505.